Due to a lapse in appropriations, the IMCOM Enterprise Web sites will only be updated with life, health, and safety information until further notice.
Blotter Summary Archive
- 13 - 19 Apr 25
- 06 - 12 Apr 25
- 30 Mar - 05 Apr 25
- 23 - 29 Mar 25
- 16 - 22 Mar 25
- 09 -15 Mar 25
- 02 - 08 Mar 25
- 23 Feb - 01 Mar 25
- 16 - 22 Feb 25
- 09 - 15 Feb 25
- 02 - 08 Feb 25
- 26 Jan - 01 Feb 25
- 19 - 25 Jan 25
- 12 - 18 Jan 25
- 05 - 11 Jan 25
- 29 Dec 24 - 04 Jan 25
- 22 - 28 Dec 24
- 15 - 21 Dec 24
- 08 - 14 Dec 24
- 01 - 07 Dec 24
- 24 - 30 Nov 24
- 17 - 23 Nov 24
- 10 - 16 Nov 24
- 03 - 09 Nov 24
- 27 Oct - 02 Nov 24
- 20 - 26 Oct 24
- 13 - 19 Oct 24
- 06 - 12 Oct 24
- 29 Sep - 05 Oct 24
- 22 - 28 Sep 24
- 15 - 21 Sep 24
- 08 - 14 Sep 24
- 01 - 07 Sep 24
- 25 - 31 Aug 24
- 18 - 24 Aug 24
- 11 - 17 Aug 24
- 04 - 10 Aug 24
- 28 July - 03 Aug 24
- 21 - 27 Jul 24
- 14 - 20 Jul 24
- 07 - 13 Jul 24
- 30 Jun - 06 Jul 24
- 23 - 29 Jun 24
- 16 - 22 Jun 24
- 09 - 15 Jun 24
- 02 - 08 Jun 25
- 26 May - 01 Jun 24
- 19 - 25 May 24
- 12 - 18 May 24
- 05 - 11 May 24
- 28 Apr - 04 May 24
- 21 - 27 Apr 24
- 14 - 20 Apr 24
- 07 - 13 Apr 24
- 31 Mar - 06 Apr 24
- 24 - 30 Mar 24
- 17 - 23 Mar 24
- 10 - 16 Mar 24
- 03 - 09 Mar 24
- 25 Feb - 02 Mar 24
- 18 - 24 Feb 24
- 11 - 17 Feb 24
- 04 - 10 Feb 24
- 28 Jan -03 Feb 24
- 21 - 27 Jan 24
- 14 - 20 Jan 24
- 07 - 13 Jan 24 (Replaced by CY23 Crime Summary)
- 31 Dec 23 - 06 Jan 24
2023
- 24 - 30 Dec 23 -skipped for holiday
- 17 - 23 Dec 23 -skipped for holiday
- 10 - 16 Dec 23
- 03 - 09 Dec 23
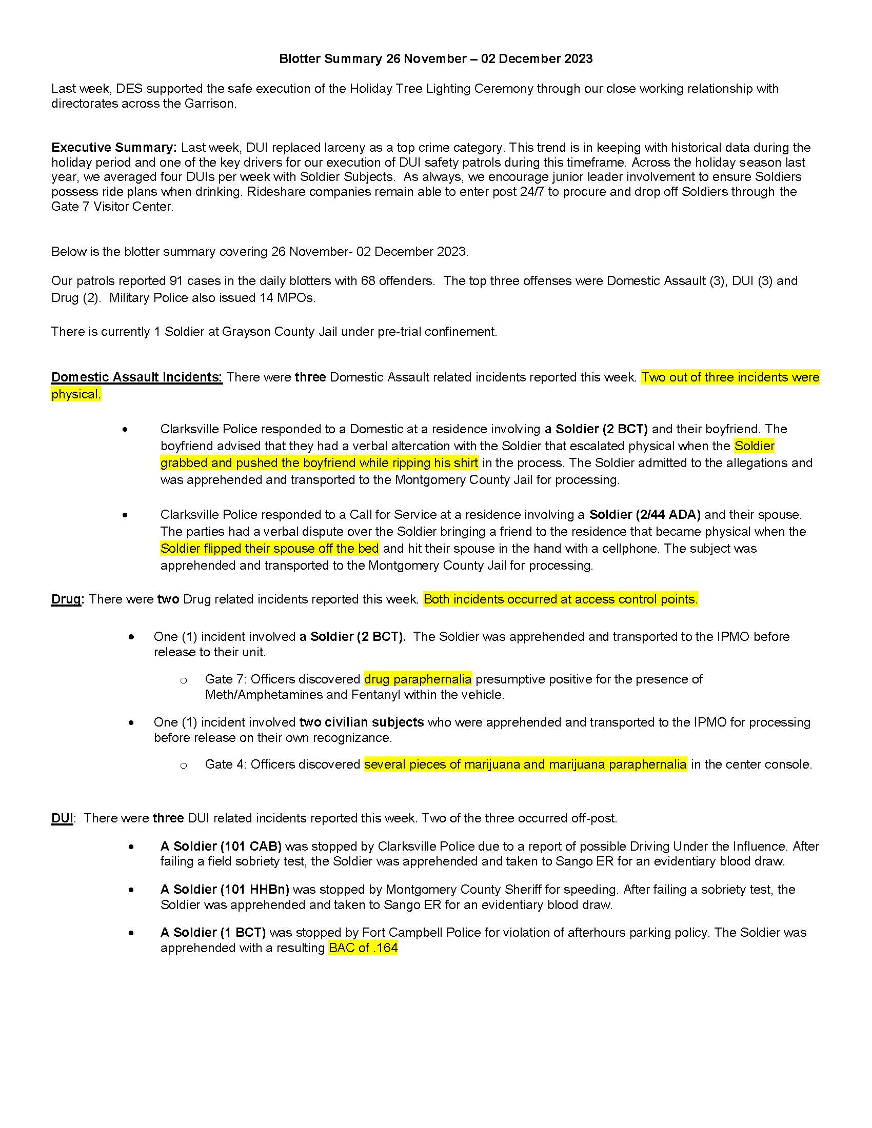
- 26 Nov - 02 Dec 23
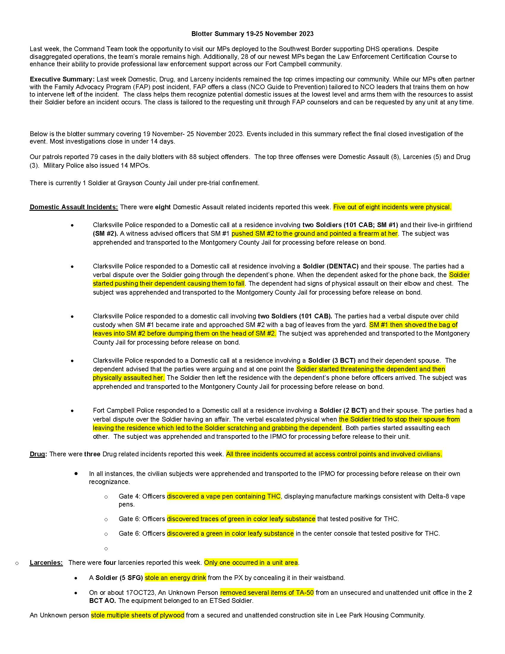
- 19 - 25 Nov 23
- 12 - 18 Nov 23
- 05 - 11 Nov 23
- 29 Oct - 04 Nov 23
- 22 - 28 Oct 23
- 15 - 21 Oct 23
- 8 - 14 Oct 23
- 1 - 7 Oct 23
- 24 - 30 Sep 23
- 17 - 23 Sep 23
- 10 - 16 Sep 23
- 03 - 09 Sep 23
- 27 Aug - 02 Sep 23
- 20 - 26 Aug 23
- 13 - 19 Aug 23
- 06 - 12 Aug 23
- 30 Jul - 05 Aug 23
- 23 - 29 Jul 23
- 16 - 22 Jul 23
- 09 - 15 Jul 23
- 02 - 08 Jul 23
- 25 Jun - 01 Jul 23
- 18 - 24 June 23
- 11 - 17 June 23
- 04 - 10 June 23
- 28 May - 03 Jun 23
- 21 - 27 May 23
- 14 - 20 May 23
- 07 - 13 May 23
- 30 Apr - 06 May 23
- 23 - 29 Apr 23
- 16 - 22 Apr 23
- 09 - 15 Apr 23
- 02 - 08 Apr 23
- 26 Mar - 01 Apr 23
- 19 - 25 Mar 23
- 12 - 18 Mar 23
- 05 - 11 Mar 23
- 26 Feb - 04 Mar 23
- 29 - 25 Feb 23
- 12 - 18 Feb 23
- 05 - 11 Feb 23
- 29 Jan - 04 Feb 23
- 22 - 28 Jan 23
- 15 - 21 Jan 23
- 8 -14 Jan 23
- 1 - 7 Jan 23
2022
